ALQ
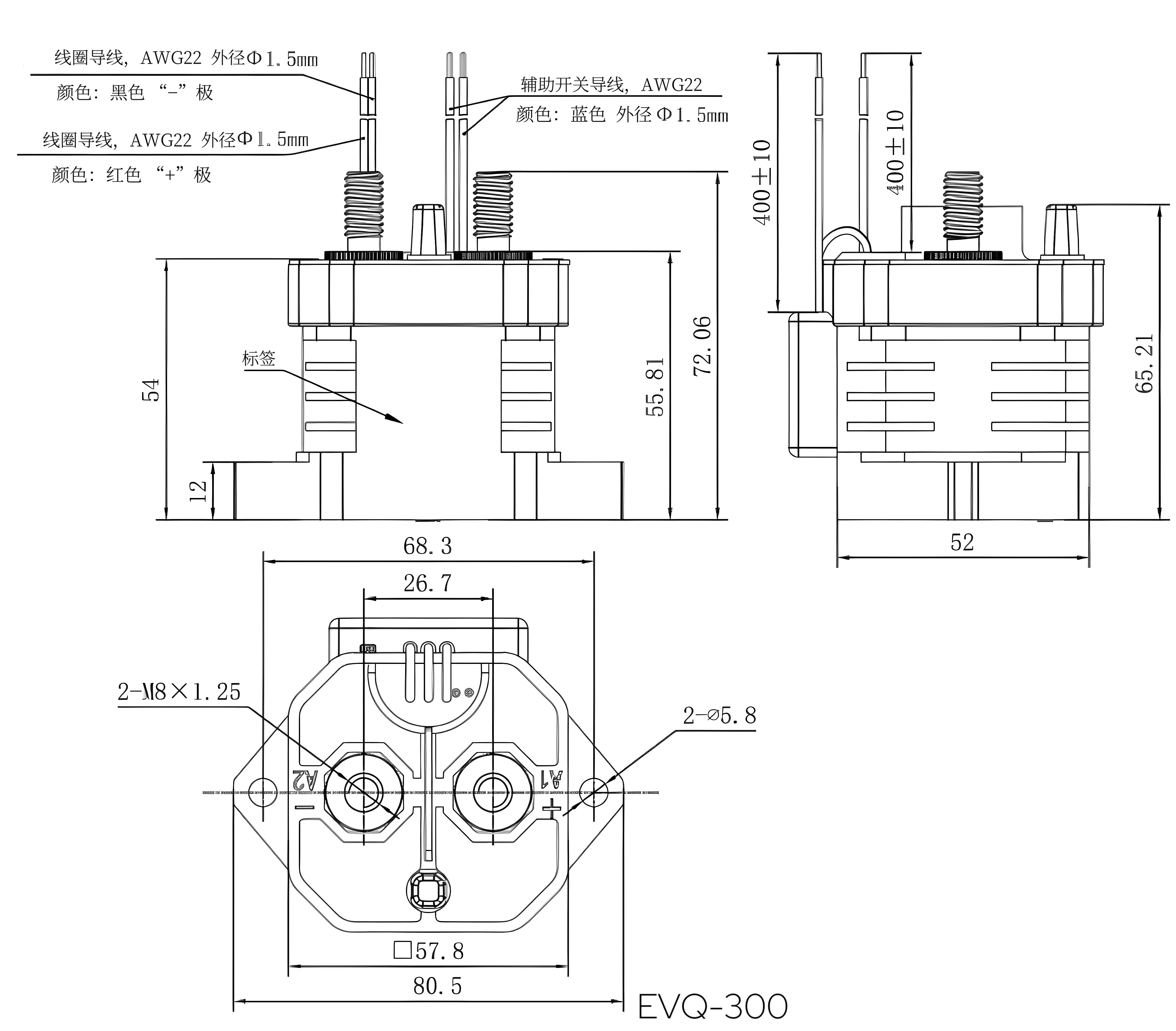
ALQ EVQ300 High Voltage DC Contactor 300 Amp 12~1500V
Product Detai Referenc
|
Modle |
EVQ-300(Series5) |
|
||
|
Rated current |
300A |
|||
|
Rated voltage |
DV100V、DV200V |
|||
|
Insulation voltage |
≥100MΩ
DC1000V |
|||
|
Number of poles |
Single pole |
|||
|
Type of circuit |
DC |
|||
|
Mechanical life |
200,000 times |
|||
|
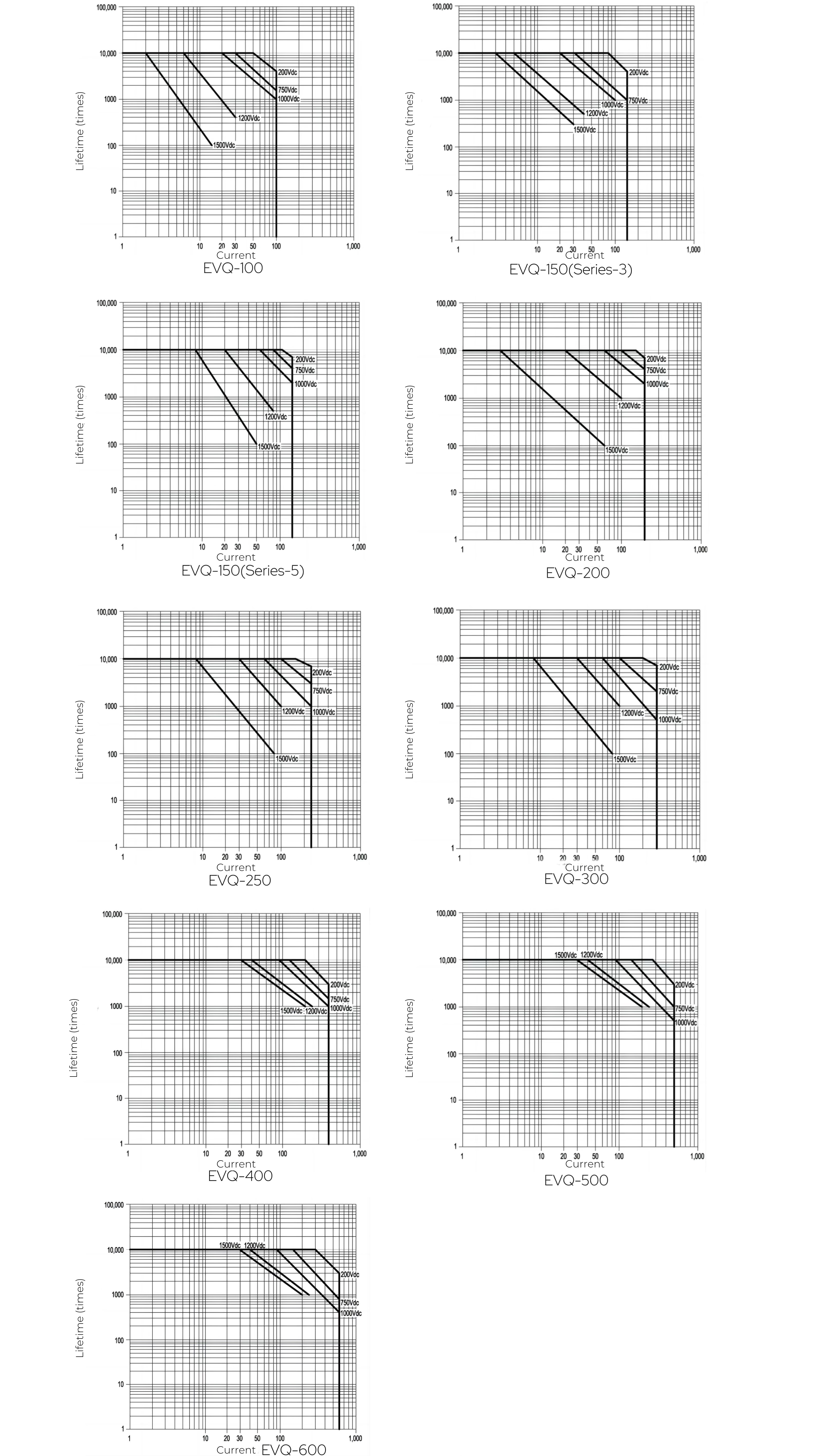
Electrical life,ON :OFF=1s:9 s Switching Rating ,ON :
OFF=1s:9s) |
DC100V |
10000times |
||
|
DC200V |
1000times |
|||
|
Maximum breaking current |
DC80V 2000A 1/once |
|||
|
Shot-circuit withstand current |
400A 1200s |
|||
|
Insulation resistance |
100MΩ
DC1000V |
|||
|
Withstand voltage |
AC 2500 Vrms/10mA 60s |
|||
|
Rated control voltage Uc |
Rated control voltage:DC12V/DC24V/DC48V |
|||
|
Contact Arrangement |
(SPST-NO-DM) |
|||
|
Media type when cutting-of |
Inactive gas |
|||
|
Auxiliary contact type |
Without |
|||
|
Workplace Temperature |
(-40℃~+85℃) |
|||
|
Dielectric Strength |
Between open contact |
AC 2500 Vrms/10mA/1min |
||
|
Between Contacts and Coil |
||||
Product Dimension Drawing


- Electrical Life Line Chart

- Current Time Line Chart


- Warranty:
- 2 Years
- Application:
- Charging piles
- Brand Name:
- ALQ
- Model Number:
- EVQ300
- Place of Origin:
- Jiangsu, China
- Certification:
- UL/Rohs
- Material:
- Ceramic
- Rated load voltage Ue :
- 12-1000Vdc
- Rated load current Ie:
- 300Amp
- Rated voltage of coil Us:
- 12Vdc or 24Vdc
- Weight approximately:
- 430g
- Contact resistance initial:
- Typical value 1Milliohm
- Electrical life:
- DC450V 10000 second DC750V 1000 second
